Yaequinolone J1
Names
IUPAC name
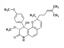
(2S,9R,10R)-10-Hydroxy-9-methoxy-10-(4-methoxyphenyl)-2-methyl-2-(4-methyl-3-penten-1-yl)-2,7,9,10-tetrahydro-8H-pyrano[2,3-f]quinolin-8-one
Identifiers
3D model (JSmol)
ChemSpider
  • InChI=1S/C27H31NO5/c1-17(2)7-6-15-26(3)16-14-18-8-13-21-22(23(18)33-26)27(30,24(32-5)25(29)28-21)19-9-11-20(31-4)12-10-19/h7-14,16,24,30H,6,15H2,1-5H3,(H,28,29)/t24-,26-,27+/m0/s1
    Key: CPWPNTRWIIAFEG-DOEKTCAHSA-N
  • O=C4Nc2c(c1O[C@@](/C=C\c1cc2)(C)CC\C=C(/C)C)[C@](O)(c3ccc(OC)cc3)[C@H]4OC
Properties
C27H31NO5
Molar mass 449.547 g·mol−1
Except where otherwise noted, data are given for materials in their standard state (at 25 °C [77 °F], 100 kPa).
Infobox references

Yaequinolone J1 is an antibiotic made by Penicillium.[1]

Total syntheses of yaequinolone J1

An asymmetric total synthesis of yaequinolone J1 has been published in 2018 by V. Vece, S. Jakkepally and S. Hanessian.[2] In 2020, a five-step synthesis of yaequinolone J1 was reported.[3]

References

  1. Uchida, R; Imasato, R; Shiomi, K; Tomoda, H; Omura, S (2005). "Yaequinolones J1 and J2, novel insecticidal antibiotics from Penicillium sp. FKI-2140". Org Lett. 7 (25): 5701–4. doi:10.1021/ol052458h. PMID 16321026.
  2. Vece, V; Jakkepally, S; Hanessian, S (2018). "Total Synthesis and Absolute Stereochemical Assignment of the Insecticidal Metabolites Yaequinolones J1 and J2". Org. Lett. 20 (14): 4277–4280. doi:10.1021/acs.orglett.8b01701. PMID 29975546. S2CID 49710214.
  3. Schwan, J; Kleoff, M; Heretsch, P; Christmann, M (2020). "Five-Step Synthesis of Yaequinolones J1 and J2". Org. Lett. 22 (2): 475–479. doi:10.1021/acs.orglett.9b04455. PMID 31909626.


This article is issued from Wikipedia. The text is licensed under Creative Commons - Attribution - Sharealike. Additional terms may apply for the media files.